新聞中心
聯系我們
手 機:19279864570
郵 箱:40045692@qq.com
Q Q:40045692
地 址:上海市奉賢區南橋鎮國順路936號5幢
科普:一起走進無鹵阻燃劑大家族
現如今,由于絕大部分塑料優異的絕緣性能,塑料已經廣泛應用于手機3C、家用電器、電工產品中;然而,塑料的易燃性能阻礙著其安全性能。無鹵阻燃劑由于不會產生氯化氫等有毒含鹵氣體,為我們日常生活做了巨大的貢獻。下面我們來了解一下無鹵阻燃劑大家族:無機阻燃劑、無鹵膨脹型阻燃劑、有機磷系阻燃劑、有機硅系阻燃劑、氮系阻燃劑。
一 無機阻燃劑
無機阻燃劑具有穩定性好,低毒或無毒,貯存過程中不揮發、不易從塑料中析出,原料來源豐富,價格低廉等優點, 兼具阻燃、填充雙重功能;并對環境友好,是很有前途的阻燃劑。無機阻燃劑主要包括Sb2O3、Al(OH)3、Mg(OH)2、無機磷系等。
1.三氧化二銻
三氧化二銻(Sb2O3)是無機阻燃劑中使用最為廣泛的品種。由于它單獨使用時效果不佳,常與有機鹵化物并用,起到協同作用,稱為協效劑。它具有優良的阻燃效果,可廣泛用于PVC和聚烯烴類及聚酯類等塑料中。但它對鼻、眼、咽喉具有刺激作用,吸入體內會刺激呼吸器官,與皮膚接觸可以引起皮炎,使用時應注意防護。
2.氫氧化鋁
氫氧化鋁Al(OH)3習慣上稱為水合氧化鋁。為白色細微結晶粉末,含結晶水34.4%,200℃以上脫水,可大量吸收熱量。另外,氫氧化鋁加入到塑料中,在燃燒時放出的水蒸氣白煙將聚合物燃燒產生的黑煙稀釋,起掩蔽作用,因此又具有減少煙霧和有毒氣體的作用。
圖:氫氧化鋁
3.氫氧化鎂
氫氧化鎂Mg(OH)2比氫氧化鋁阻燃性能稍差,在塑料中添加量大,會影響到力學強度。經偶聯劑表面處理后,可改善其與樹脂的結合力,使之兼具阻燃和填充雙重功能。常用于EP、PF、UP、ABS、PVC、PE等。
4.無機磷系阻燃劑
無機磷系阻燃劑主要指紅磷。它是一種性能優良的阻燃劑,具有高效、抑煙、低毒等阻燃效果,作為阻燃劑使用已有20余年,是一種受到高度重視的阻燃劑,可在多種塑料中使用,但一般需與其它助劑配合,才能發揮其阻燃作用。紅磷阻燃劑也有不足,主要有:紅磷在使用時穩定性差、易燃易爆炸、易氧化成酸;與空氣長期接觸會放出劇毒的磷化氫;紅磷本身為紅色,易使制品著色;紅磷也容易吸潮,與聚合物兼容性較差,從而限制了其作為阻燃劑的廣泛應用。
5.其它無機阻燃劑
其它無機阻燃劑包括阻燃增效劑、阻燃抑煙劑以及一些用量較少的阻燃劑等,主要有:鉬系化合物、硼酸鹽、層狀硅酸鹽、錫系化合物(錫酸鋅和羥基錫酸鋅)等。鉬系化合物是迄今為止人們發現的最好抑煙劑。通常使用三氧化鉬和鉬酸銨。美國開發出不含銨的系列鉬酸鹽抑煙劑,能耐200℃以上的加工溫度。
二 無鹵膨脹型阻燃劑
無鹵膨脹型阻燃劑(IFR)是以磷、氮為主要成分的無鹵阻燃劑。它具有高阻燃性、無熔融滴落、對長時間或重復暴露在火焰中有極好的抵抗性,無鹵、無氧化銻, 低煙、無毒、無腐蝕性氣體產生等優點。
IFR主要由三部分組成:第一部分是酸源又稱脫水劑或炭化促進劑。通常為無機酸或無機酸化合物,如磷酸、硫酸、硼酸、磷酸銨鹽、磷酸酯及聚磷酸銨(APP)等,可與樹脂作用,促進炭化物的生成;第二部分是炭源又稱成炭劑,主要為一些含碳量較高的多羥基化合物或碳水化合物,如淀粉、季戊四醇(PER)及其二聚體和三聚體等;第三部分是氣源又稱發泡源,可釋放出惰性氣體,為含氮類化合物,如尿素、三聚氰胺(MEL)、雙氰胺、APP等。
由于普通的膨脹型阻燃劑易吸潮,添加量大,同塑料的相容性差,所以還需要對其改性以提高其與塑料的相容性或讓其與具有協同作用的物質共用,以提高阻燃效果。
無鹵膨脹型阻燃劑的典型組分如表1所示。

三 有機磷系阻燃劑
在各類阻燃劑中,磷系阻燃劑,特別是有機磷系阻燃劑,占有重要地位。對有機磷系阻燃劑的研究起始于本世紀初,有機磷系阻燃劑大都具有低煙、無毒、低鹵、無鹵等優點,符合阻燃劑的發展方向,具有較好的發展前景。有機磷系阻燃劑包括磷酸酯、亞磷酸酯、膦酸酯、有機磷鹽和氧化磷,還有磷雜環化合物及聚合物磷(膦)酸酯等,但應用最廣的是磷酸酯和膦酸酯。

圖:汽車內飾件燃燒測試
由于早先已工業化的有機磷阻燃劑存在揮發性大、熱穩定性不佳以及磷鹵阻燃劑毒性等問題,近年來國內外有大量新型有機磷類阻燃劑被研發,且部分已經工業化。此外,以氮、硅作為阻燃元素的阻燃劑以其高效、低煙、低毒、綠色環保等優點也受到了人們的廣泛關注。 因此在有機磷阻燃劑分子設計中,把氮元素或硅元素引入其中而得到的磷 - 氮阻燃劑或磷 - 硅阻燃劑往往可以發揮兩者的協同阻燃作用。

圖:RDP與BDP的結構式
BDP和RDP是近年來開發出的新型無鹵環保有機磷類阻燃劑,其結構式如上圖所示。與傳統有機磷阻燃劑相比,它們具有分子量大、熱穩定性高、揮發性低以及阻燃效率高等特點。BDP在熱穩定性及水解穩定性方面比RDP略為優越,作為添加型阻燃劑,主要用于熱塑性工程塑料如PC/ABS共混物、 聚乙烯及泡沫聚氨酯中,表現出十分優異的阻燃效果。
四 有機硅系阻燃劑
有機硅阻燃劑是一種新型高效、低毒、防熔融滴落、環境友好的無鹵阻燃劑,也是一種成炭型抑煙劑。有機硅阻燃劑在賦予基材優異的阻燃性能之外,還能改善基材的加工性能、耐熱性能等。目前,有機硅阻燃劑主要有硅樹脂阻燃劑和聚硅硼氧烷阻燃劑。阻燃的方法可以是直接將有機硅阻燃劑加入到塑料中,也可以是將一些帶官能團(如端羥基、氨基或環氧基)的聚硅氧烷鏈段嵌入到一些聚合物中。

圖:塑料燃燒滴落易擴散火源
1.硅樹脂是以Si-O-Si為主鏈,硅原子上連接有機基的交聯型半無機高聚物。硅樹脂分子的側基為氫鍵或有機基時稱為純硅樹脂。硅樹脂具有優良的耐熱性、耐候性、阻燃性和電絕緣性等。
2.聚硅氧硼烷是指分子主鏈上包含Si-O-Si鍵、Si-O-B鍵和B-O-B鍵的聚合物。將硼元素以化學鍵的形式與硅氧烷形成共聚物,可實現B和Si在同一分子鏈上的協同阻燃作用。

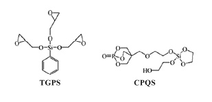
圖:TGPS與CPQS的結構式
典型的有機硅阻燃劑如:TGPS(二氯二甲基硅烷改性樹脂)、CPQS(雙環籠狀含磷四配位硅),其結構如上圖所示。
五 氮系阻燃劑
氮系阻燃劑的研究起步較晚,目前使用的品種不多,主要為添加型,常用的氮系阻燃劑有三聚氰胺、三聚氰胺氰尿酸(MCA)等。氮系阻燃劑作為一種新型高效的阻燃劑,近年來在國內外得到廣泛研究和重視。根據目前已有文獻報道,單獨使用氮系阻燃劑阻燃效果不佳,但與含磷阻燃劑結合而成的膨脹型阻燃劑體系,其阻燃效果就很好。


